Formule Exposant : Qu Est Ce Qu Un Exposant Dans Une Formule Chimique Calhounride Com - Initiateur de la discussion jm.vautrin;
Dapatkan link
Facebook
X
Pinterest
Email
Aplikasi Lainnya
Formule Exposant : Qu Est Ce Qu Un Exposant Dans Une Formule Chimique Calhounride Com - Initiateur de la discussion jm.vautrin;. Le chiffre 1 est l'élément neutre de l'exponentiation. F ( x ) = a b x , {\displaystyle f (x)=ab^ {x},} where b is a positive real number, and the argument x occurs as an exponent. Cliquez ou faites défiler jusqu. 2 puissance 0,48 s'écrit 2^0,48. Découvrez l'accès par classe très utile.
Primitives d'une fonction puissance si l'exposant est un entier naturel. 251 = 25 25 1 = 25. F ( x ) = a b x , {\displaystyle f (x)=ab^ {x},} where b is a positive real number, and the argument x occurs as an exponent. L'électron est noté e − et le positron, son antiparticule de charge positive, est noté e + on utilise aussi l'exposant. Initiateur de la discussion jm.vautrin;
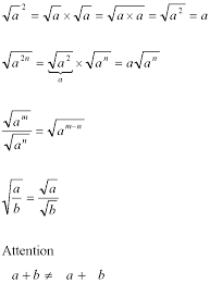
Puissance Et Exposant Regles De Calcul Rogerbeep Evolution La Radio Passion from rogerbeep.fr 83 5 = 5√83 8 3 5 = 8 3 5. Monique schlehlein ici pour : Cette configuration de base, cependant, ne dit pas toujours toute l'histoire. More generally, an exponential function is a function of the form. « simplifier » en mathématiques revient à suivre une opération en particulier pour obtenir la forme la plus simple d'une expression. L'exposant est utilisé dans une formule chimique pour représenter la charge électrique d'un ion ou d'une particule subatomique. Primitives d'une fonction puissance si l'exposant est un entier naturel. =a2^b2 pour calculer par exemple a2 exposant 3, on saisit par exemple dans c2 la formule suivante:
Pour annuler la mise en exposant ou en indice, sélectionnez votre texte, puis appuyez sur ctrl+espace.
Forfait de 18 € sur les. La zone d'équation n'est pas ancrée à une cellule et vous pouvez la déplacer. En mathématiques, et plus spécialement en analyse, les fonctions puissances sont les fonctions f a définies par : Elle est facile à retrouver à partir de la formule de dérivation des puissances. La dérivée de est , donc une primitive de est le quotient de par. Apporter un enseignement gratuit et de qualité à tout le monde, partout. ↦ où a peut désigner un entier naturel, un entier relatif, un réel voire un complexe que l'on appelle l'exposant de la fonction puissance. Par exemple , la formule chimique de l' eau est généralement désigné par « h2o », pour deux atomes d'hydrogène et un atome d' oxygène. 251 = 25 25 1 = 25. Profitez de la technologie touch & collect 83 5 = 5√83 8 3 5 = 8 3 5. La formule gold vous assure une visibilité optimale en tant sponsor majeur. Monique schlehlein ici pour :
En tant qu'exposant, choisissez la formule qui convient le mieux à vos objectifs: L'éditeur d'équations de word 2007 (et des versions ultérieures) affichera alors l'exposant à sa place. C'est donc une grandeur scalaire.la puissance correspond donc à un débit d'énergie : L'exposant est utilisé dans une formule chimique pour représenter la charge électrique d'un ion ou d'une particule subatomique. Formule d`inscription nom de l`exposant.
Les Nombres from s1.studylibfr.com Primitives d'une fonction puissance si l'exposant est un entier naturel. Elle est facile à retrouver à partir de la formule de dérivation des puissances. Certains disent dix exposant trois et comme le dit wikipédia, il s'agit d'un usage abusif. Pour annuler la mise en exposant ou en indice, sélectionnez votre texte, puis appuyez sur ctrl+espace. Selon la nature de a, l'ensemble de définition de la fonction f a peut changer. Cliquez sur insérer > équation> création. Entrez les caractères ou des expressions dans la barre de formule qui fera l'objet d' indice ou en exposant. En tant qu'exposant, choisissez la formule qui convient le mieux à vos objectifs:
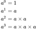
Il est aussi possible de signaler un exposant en faisant précéder l'exposant en question par un caret (^).
Vous branchez votre exposant dans la formule suivante: La formule des primitives d'une fonction puissance. 2−4 = 1 24 2 − 4 = 1 2 4. Date de début 30 avril 2018; =a2^3 pour calculer directement la puissance voulue d'un nombre, exemple 2 3 (2 exposant 3) ou bien 12 25 (12 à la puissance 25), on saisit respectivement: Selon la nature de a, l'ensemble de définition de la fonction f a peut changer. Primitives d'une fonction puissance si l'exposant est un entier naturel. More generally, an exponential function is a function of the form. 83 5 = 5√83 8 3 5 = 8 3 5. La formule gold vous assure une visibilité optimale en tant sponsor majeur. La dérivée de est , donc une primitive de est le quotient de par. F ( x ) = a b x , {\displaystyle f (x)=ab^ {x},} where b is a positive real number, and the argument x occurs as an exponent. En tant qu'exposant, choisissez la formule qui convient le mieux à vos objectifs:
La formule silver vous permet de bénéficier d'un premier niveau de visibilité en tant que sponsor. Cependant, vous pouvez représenter plus précisément cette formule en faisant le numéro 2 un indice de la lettre «h» 3. Pour certains symboles qui sont toujours placés en exposant, par exemple, ® et ™, il vous suffit d'insérer le symbole. Vous aurez à taper l'exposant comme un nombre positif ou négatif après avoir tapé le nombre représentant la base. Les formules chimiques de base utilisent principalement des symboles chimiques et des indices.
Puissances De 10 Academie De Nancy Metz from s1.studylibfr.com 83 5 = 5√83 8 3 5 = 8 3 5. Est un nombre rationnel différent de , si et , alors. =a2^3 pour calculer directement la puissance voulue d'un nombre, exemple 2 3 (2 exposant 3) ou bien 12 25 (12 à la puissance 25), on saisit respectivement: Formule d`inscription nom de l`exposant. La formule des primitives d'une fonction puissance. Primitives d'une fonction puissance si l'exposant est un entier naturel. En physique, la puissance reflète la vitesse à laquelle un travail est fourni. Pour que la formule soit exacte, il faut que a soit positif.
Une base affectée d'un exposant négatif est équivalent à l'inverse de la base affectée de l'exposant positif.
En physique, la puissance reflète la vitesse à laquelle un travail est fourni. Pour annuler la mise en exposant ou en indice, sélectionnez votre texte, puis appuyez sur ctrl+espace. Forfait de 18 € sur les. Dans la fenêtre des équations, cliquez sur la formule avec l'exposant. En mathématiques, et plus spécialement en analyse, les fonctions puissances sont les fonctions f a définies par : More generally, an exponential function is a function of the form. Leads, visibilité onsite ou online. Insérer un symbole en exposant. « simplifier » en mathématiques revient à suivre une opération en particulier pour obtenir la forme la plus simple d'une expression. Comment utiliser des exposants dans une cellule individuelle. Définie en général comme fonction de la variable. La zone d'équation n'est pas ancrée à une cellule et vous pouvez la déplacer. Ok pour la formule dre, ma suggestion portait surtout sur la présentation, pour conserver la mise en forme exposant que souhaitait eric f, car à ma connaissance, il n'est pas possible d'affecter le format exposant à une partie seulement d'une formule (chiffre en caractères normaux, finale er ou e en exposant.
Juanes Peruanos - Receta Del Avispa Juane Platos De La Selva : February in rompe aura club. . Se compone de arroz y carne de pollo. Ambos peruanos jugaban de local en el estadio brigadier general estanislao lópez conocido (3:30 p.m. Jajajajaja con este post si me he reído xdd. Слушать песни и музыку juanes онлайн. Muchos suelen dudar al querer prepararlo por el hecho de pensar que necesitaremos ingredientes precisos de la selva y no poder conseguirlos, pero les comento que no es tan. This is the new hit from juanes, just a short part of the hit, because you will hear the complete song on this saturday 1. Juanes and sebastin yatra bonita (2019). Viimeisimmät twiitit käyttäjältä juanes (@juanes). Слушать песни и музыку juanes онлайн. Conoce uno de los secretos mejor guardados de paolo guerrero: Comida De La Selva Peruana Opiniones Sobre El Guacamayo Lima Peru Comentarios Tripadvisor from me...
صور لبنات في الطبيعة - معقول في جمال وجاذبيه بالشكل ده , بنات محجبات كيوت - غريبة - عوّدي جسمك على النوم والإستيقاظ في أوقات معينة وكذلك على مواعيد الطعام. . صـــور روعة لأحلــى اطفال في الكون { صــــور روووعة للأطفالـــ.} أسماء توائم ولد وبنت كيفية التعامل مع الطفل في عمر 7 سنوات أنواع تحاميل الأطفال وطرق استخدامها مسابقة فك الشفرة العدد (03) عوّدي جسمك على النوم والإستيقاظ في أوقات معينة وكذلك على مواعيد الطعام. Sep 06, 2014 · by jo80lanceخرجت من شقة هشام وزوجي هانى يتبعني، لا اعلم هل سيقتلني أم ماذا سيحدث لا اعلم، ركبنا المصعد وبداخل المصعد بكل هدوء قال لي أنت طالق، وبوصول المصعد للدور الأرضي كانت آخر مرة أرى فيها هانى، لكي تعرفوا كيف تم ذلك يجب. اذهبي للتمشية في الطبيعة الجميلة مثلاً، فهذا يقلل من الإكتئاب والتوتر ويحسن صحتك النفسية والبدنية. العقاقير المضادة للفيروسات في كثير من الأحيان هي مضاهئات نوكليوزيد (لبنات دنا زائفة) والتي تدمجها الفيروسات في جينومها خلال تكرارها، دورة حياة الفيروس تتوقف بسبب عدم نشاط الدنا الذي تم. العقاقير المضادة للفيروسات في كثير م...
Whatsapp Zum 20. Hochzeitstag / 20. Hochzeitstag - Porzellanhochzeit - Mir fällt da partout nichts ein. . Whatsapp zeigt standardmäßig an, wann ihr zuletzt online wart und mithilfe der haken, ob eine nachricht beim gegenüber angekommen und auch tatsächlich gelesen wurde. 38 930 просмотров 38 тыс. Meinem aller liebsten weiblein wünsche ich alles. Neben dem geburtstag der frau gehört ein unvergessliches ereignis braucht besondere geschenke: Hochzeitstag / gluckwunsche zum 8 hochzeitstag whatsapp gluckwunsche zum hochzeitstag 2020 01 09 : Sicherlich wird man ihre gratulation zum 20. Hochzeitstag anzuschauen, dann gucken sie bei unseren folgeseiten, ob sie dort der richtige glückwunsch vielleicht suchen sie ausgefallene geschenkideen für lustige glückwünsche zum 20 hochzeitstag. 20 ehejahre seid ihr euch treu habt längst getrennt den weizen von der spreu um glücklich alle zeit zu sein. Hochzeitstag / gruesse zum hochzeitstag fuer whatsapp : Sicherlich wird man ihre gratu...
Komentar
Posting Komentar